单项式加减法法则
的有关信息介绍如下:
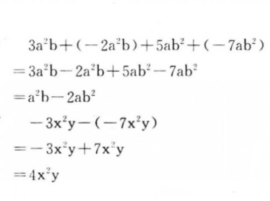
单项式加减法法则(rule of addition and subtraction of monomial)是单项式的一种运算法则,其法则是:几个单项式相加减,先用加减号把各单项式连结起来,然后合并同类项(即把同类项的系数相加减,变数字母部分不变),得到一个多项式(或单项式),就是这几个单项式相加减的结果 。
想要了解更多“单项式加减法法则”的信息,请点击:单项式加减法法则百科

单项式加减法法则(rule of addition and subtraction of monomial)是单项式的一种运算法则,其法则是:几个单项式相加减,先用加减号把各单项式连结起来,然后合并同类项(即把同类项的系数相加减,变数字母部分不变),得到一个多项式(或单项式),就是这几个单项式相加减的结果 。
想要了解更多“单项式加减法法则”的信息,请点击:单项式加减法法则百科