对数分布
的有关信息介绍如下:
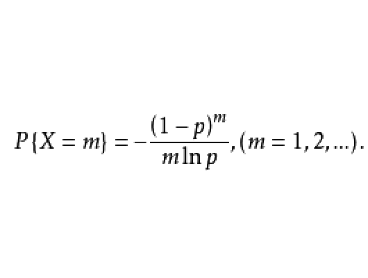
对数分布(logarithmic distribution)可以指两个意思:①即“对数级数分布”。②称随机变量X有对数分布,参数为n(自然数),如果P{X=m}=log(1+1/m),(m=1,2,...,n-1)。
想要了解更多“对数分布”的信息,请点击:对数分布百科

对数分布(logarithmic distribution)可以指两个意思:①即“对数级数分布”。②称随机变量X有对数分布,参数为n(自然数),如果P{X=m}=log(1+1/m),(m=1,2,...,n-1)。
想要了解更多“对数分布”的信息,请点击:对数分布百科