伯努利数
的有关信息介绍如下:
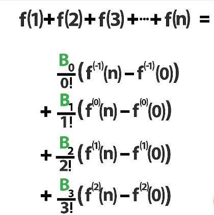
伯努利数是18世纪瑞士数学家雅各布·伯努利引入的一个数。在数学上,伯努利数是一个有理数数列,在许多领域都有很大的应用。一般地,n>=1时,有B(2n+1)=0;n>=2时,有公式B(n)=∑[C(k,n)*B(k)](k:0->n)可用来逐一计算伯努利数。伯努利数在数论中很有用。伯努利数还可用于费马大定理的论证中。
想要了解更多“伯努利数”的信息,请点击:伯努利数百科

伯努利数是18世纪瑞士数学家雅各布·伯努利引入的一个数。在数学上,伯努利数是一个有理数数列,在许多领域都有很大的应用。一般地,n>=1时,有B(2n+1)=0;n>=2时,有公式B(n)=∑[C(k,n)*B(k)](k:0->n)可用来逐一计算伯努利数。伯努利数在数论中很有用。伯努利数还可用于费马大定理的论证中。
想要了解更多“伯努利数”的信息,请点击:伯努利数百科