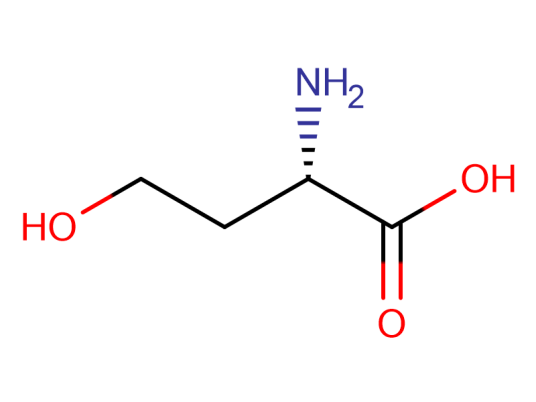
您的位置首页百科知识 高丝氨酸 Simone 发布于 2025-10-01 21:39:11 817 阅读 高丝氨酸的有关信息介绍如下:高丝氨酸是一种化学物质,分子式为C4H9NO3。高丝氨酸是苏氨酸、甲硫氨酸和胱硫醚生物合成的中间产物,也存在于细菌的肽聚糖中。想要了解更多“高丝氨酸”的信息,请点击:高丝氨酸百科